2024-06-07 服务与支持 浏览 2644
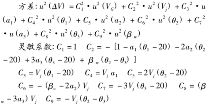
1 工作量器示值误差的测量不确定度
根据规程JJG164-2000《液体流量标准装置》,用100L二等标准金属量器检定工作量器,标准量器测得的工作量器在J点20℃下的实际容值V20j的计算公式为

容积示值误差:ΔV=VG-V20j
式中:V20j—标准量器在j点20℃下给出的实际容积,L;
Vj—j点在检定时,标准量器注入工作量器中水的容积值,L;
β—温度为θ3时液体的体胀系数,1/℃;
a1,a2,a3—分别为工作量器标尺材料,工作量器材料,标准量器材料的线胀系数,1/℃;
θ1,θ2,θ3—分别为试验室温度,工作量器中液温,标准量器中液温,℃;
VG—工作量器在j点的容积值,L;

设检定介质为水(βw=2.0×10-4℃-1),工作量器标尺及工作量器和标准量器材料为不锈钢(a1,a2,a3均为17×10-6℃-1),θ1=27℃,θ2=19℃,θ3=17℃,标准不确定度计算如下:

有效自由度为:

2 标准量器在j点检定时,标准容积的不确定度u(Vj)
依据国家计量检定系统,二等标准金属量器相对扩展不确定度δ=2.5×10-4,由于该值是利用k=2的包含因子得到,因此
按正态分布:自由度ν(Vj)=∞
2.1 工作量器标尺材料线胀系数的不确定度u(a1)
工作量器标尺材料的线胀系数为17×10-6℃-1,按均匀分布:
,自由度ν(a1)=50
2.2 工作量器材料线胀系数的不确定度u(a2)
工作量器线胀系数为17×10-6℃-1,按均匀分布:u
自由度ν(a2)=50
2.3 标准量器材料的线胀系数u(a3)
标准量器线胀系数为17×10-6℃-1,按均匀分布:u
自由度ν(a3)=50
2.4 试验室室温的标准不确定度u(θ1)
检定时,采用最小分度值:0.1℃的温度计,其允许误差±0.2℃,按均匀分布:
自由度ν(θ1)=50
2.5 工作量器中液温的标准不确定度u(θ2)
检定时,采用最小分度值0.1℃的精密水银温度计,其允许误差±0.2℃,按均匀分布:
自由度ν(θ2)=50
2.6 标准量器中液温的标准不确定度u(θ3)
采用最分度小值0.1℃的精密水银温度计,其允许误差±0.2℃,按均匀分布:
10-1℃-1,自由度ν(θ)=50
2.7 水的体胀系数的不确定度u(βw)
水的体胀系数取2.0×10-4℃-1,按均匀分布:
自由度ν(β)=50
传递系数:C1=1 C2=-1.0
C3=1.00×102L·℃-1 C4=-1.70×10-3L·℃-1
C5=-4.00×102L·℃-1 C6=-1.66×10-2L·℃-1
C7=3.00×102L·℃-1 C8=-1.49×10-2L·℃-1
C9=1.00×102L·℃-1
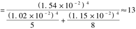
从上面计算可知:u(ΔV)=2.00×10-2L/100L×100%=0.020% 有效自由度νeff≈12
3 换向器的测量不确定度
将流量调至100m3/h,待其稳定后,操作换向器10次,换出时间为t1i,换入时间为t2i,平均值
tmin=0.1688s,根据换向器说明书要求,换入、换出时间≤0.2s,则其按均匀分布,根据规程
0.029%
自由度ν=n-1=9
4 装置的合成不确定度

自由度
查表:t95(νeff)=2.12 相对扩展不确定度:Urel=2.12×0.035≈0.074%,取Urel=0.08%;k=2符合规程JJG164-2000《液体流量标准装置》要求。
表1 标准不确定度一览表
