2023-12-29 新闻动态 浏览 2377
1、引言
圣世援便携式超声波流量计以其非接触测量方式、体积小、重量轻、携带方便,传感器的安装简单容易,测量过程不需破坏管道,不需停产,传感器不与被测介质接触、无压损等特点广泛应用于自来水、环保、发电厂供暖、冶金、矿山、石油、化工、食品、医药、造纸、钢铁等工矿企业,并应用于节能监测,流量网络监控等。
便携式超声波流量计按工作原理分为时差式和多普勒式,现如今应用最广泛的是时差式便携式超声波流量计。其是利用声波在流体中顺流传播和逆流传播的时间差与流体流速成正比这一原理来测量流体流量的。时差式便携式超声波流量计测量管内流速是测量沿超声波传播途径上的线平均速度而不是沿管道截面平均分布的面平均速度。因此,需要将超声波流量计测量出的线平均速度准确的转换为管道截面的面平均速度,才能保证超声波流量计的测量准确性。
2 、理论分析
在实际工程中,流体都是粘性介质,粘性流体一般以两种状态存在,即层流状态和紊流状态、一般来说,当流体流动的雷诺数Re小于2320时为层流状态,当流体流动的雷诺数Re大于13000时为紊流状态。当流体流动的雷诺数Re在两者之间时,流体处于过渡区间,不稳定。
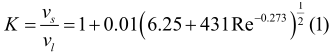
已知在紊流状态下,流速修正系数K可写成雷诺数的函数:

式中vs为介质在圆管内的面平均速度,vl为介质在圆管内的线平均速度。
从上图可以看出,雷诺数在250000~4500000之间,流速修正系数的变化值超过1%。如在更宽的测量范围内,流速修正系数的变化范围将会更大。再加上其他一些不可控因素的影响,无法满足在全量程范围内0.5级的校准精度。
便携式超声波流量计在出厂前,厂家事先内置一个固定的流速修正系数,并设置一个可调的标定系数。用户在使用前将便携式超声波流量计送到计量检定部门进行标定,根据标定的结果调整仪表系数。但此仪表系数仅在一定的流量范围内是有效的,在实际使用中的流量如超过标定的流量范围,将不能保证便携式超声波流量计的测量精度。
便携式超声波流量计在出厂时仪表系数均为1.0000,在实际测量过程中通过公式(1)计算不同口径、不同流速下流速修正系数,通过调整仪表系数来修正超声波流量计的测量误差。

图1 流速修正系数图
3 、试验
按照要求,将流量计探头安装在液体流量标准装置上。分别测量口径为500mm、1000mm、1500mm,流速分别为0.5m/s、1.5m/s、3.0m/s时经过仪表系数修正后,便携式超声波流量计的测量误差。使用液体流量标准装置对便携式超声波流量计进行校准,通过比较液体流量标准装置的标准表(电磁流量计)与超声波流量计的瞬时流量示值来验证本文使用的通过流速修正系数的公式调整仪表系数方法来提高便携式超声波流量计测量精度的有效性。
表1 试验结果

4 、结语
从表1的试验结果可以看出,使用流速修正系数公式调整仪表系数的方法使得便携式超声波流量计在常用的测量范围内测量误差均保持在0.5%之内,在宽量程范围内,有效的提高了便携式超声波流量计的测量精度,达到预期效果。